Méthodologie
On l'entend souvent, les sondages ne sont pas une prédiction mais une capture
de l'opinion à un instant donné. Mais cette capture instantanée est imparfaite.
D'abord à cause de la nature aléatoire du processus d’échantillonnage lors de
l'enquête de terrain, et aussi parce que l'opinion mesurée n'est pas
nécessairement la même que celle qui sera exprimée le jour du vote (« ça peut
encore changer »). D'autres problèmes viennent perturber la pertinence
d'un sondage : le biais de sélection (le fait que les sondages représentent
l'opinion… des gens qui répondent aux sondages), la méthodologie des
instituts (la méthode des quotas, le rolling) et le fait qu'une partie des
sondés ne répondent pas honnêtement.
L'objectif de Depuis 1958 est de prendre en compte ces incertitudes et
de les transformer en une prédiction du résultat le jour du vote. Cette
prédiction est probabiliste au sens
bayésien.
C'est à dire qu'elle reflète la
quantité d'information disponible pour affirmer un résultat. En effet l'élection
présidentielle est déterministe, mais c'est l'observation stochastique faite via
les sondages qui est par nature aléatoire.
De plus, l'élection présidentielle en France est particulière
parce qu'elle comporte
deux tours.
Les deux candidats du second tours sont les deux candidats arrivés en tête au
premier. Mais comme les votes exprimés au premier et second tours sont issus de
distributions différentes, estimer la probabilité finale qu'un candidat gagne
l’élection nécessite un calcul de
probabilité totale
avec simulation
Monte-Carlo.
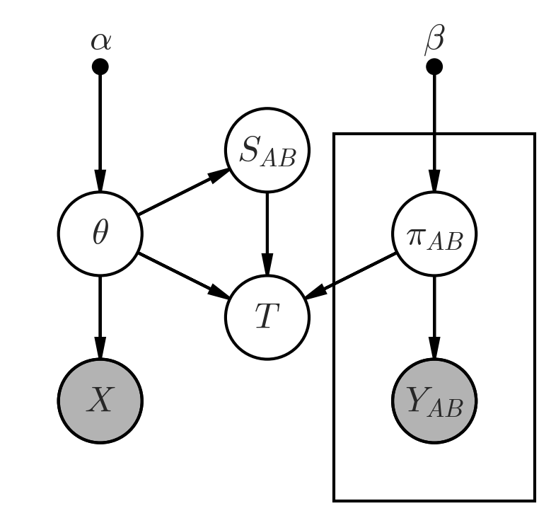
Observations multinomiales
Soit \(\theta = (\theta_1, \theta_2, \ldots \theta_M)\) le vecteur, inconnu,
du résultat d'un scrutin uninominal à un tour en votes exprimés. Il y a \(M\) candidats, et on a
\(\sum{\theta_i} = 1\).
Un sondage idéal est un tirage :
- Issu de la population des votes exprimés
- Aléatoire (loi uniforme)
- Avec remise
Dans ce cas parfait \(\theta_i\) est la probabilité qu'un individu pris au
hasard réponde en faveur du candidat \(i\). Alors les résultats d'un sondage de
taille \(N\) suivent une
loi
multinomiale :\[
X\,|\,\theta \sim \text{Multinomial}(\theta)
\]
\(X = (X_1, X_2, \ldots X_M)\) est le vecteur résultat d'un sondage, en
nombres entiers de répondants. On a \(\sum{X_i} = N\), la taille de
l'échantillon.
En pratique, les trois critères ci-dessus ne sont pas vraiment applicables
aux sondages publiés en France. On en fait cependant l'hypothèse ici. Les
paramètres finaux du modèle sont adaptés de façon à maîtriser l'erreur
introduite par cette simplification.
Une enquête est effectuée à une date précise, et représente donc
l'opinion le jour du sondage. Pour traduire les variations temporelles,
on pondère \(N\) par un facteur temporel qui dépend du nombre de jours à venir
avant le scrutin. Ça n'est pas tout à fait exact, et en théorie on pourrait utiliser un
modèle dynamique.
En pratique c'est suffisant, car la seule prédiction intéressante c'est celle du
jour de l'élection, et les calculs sont très simplifiés.
\(N\) est aussi diminué pour prendre en compte la méthode des quotas, qui
corrige l'hétérogénéité de la population sondée mais diminue la précision.
Inférence bayésienne
La
loi de Dirichlet
est l'apriori conjuguée de la loi multinomiale.
Ainsi, la distribution aposteriori après observation d'un sondage est donnée
par:\[
\theta\,|\,X \sim \text{Dir}(\alpha + x)
\]
Avec \(\alpha\) les paramètres de Dirichlet, et \(x\) la réalisation de \(X\),
le sondage. Typiquement on prend un apriori uniforme \(\alpha = (1, 1,
\ldots 1)\).
Ainsi, les votes exprimés sont modélisés par un vecteur aléatoire qui suit une
loi de Dirichlet. La dimension de ce vecteur est \(M\) pour le premier tour, et
\(2\) pour le second. Pour le premier tour, il est impossible de visualiser
graphiquement cette distribution. On peut tout de même se contenter des
densités marginales de chaque candidat qui sont des
lois bêta.
Premier tour 2017 — Densités marginales aposteriori
Sur cette figure, on observe les densités marginales de résultat au
premier tour. C'est à dire les chances de chaque candidat en votes exprimés, en
intégrant tous les autres. Il s'agit de lois bêta de paramètres
\((\alpha_i, \alpha_0 - \alpha_i)\) avec \(\alpha_0 = \sum_i \alpha_i\).
Les traits noirs indiquent les moyennes.
On peut faire le même exercice pour l'élection de 2012. Dans ce cas les
traits rouges indiquent le
résultat
officiel :
Premier tour 2012 — Densités marginales aposteriori
Échantillonnage Monte-Carlo
Une fois \(\theta\) mis à jour avec l'addition de tous les sondages
observés, on peut l'utiliser pour calculer la probabilité de n'importe quel
évènement concernant le premier tour. Par exemple la probabilité qu'il n'y ait
pas de second tour. Cependant, au delà de la moyenne, du mode et des paramètres
des densités marginales, la loi de Dirichlet n'admet
pas beaucoup
de solutions analytiques. Qu'à cela ne tienne, on
simule
plusieurs millions de scrutins et on estime la probabilité empiriquement.
Un de ces évènements exotiques et important, c'est celui qui indique quel
second tour aura lieu. C'est à dire la paire non ordonnée des deux candidats en
tête. Soit donc \(S_{AB}\) la probabilité que \(A\) affronte \(B\) au second
tour.
Probabilités totales
Pour être élu président il faut passer au second tour puis le gagner. On
peut calculer la probabilité de cet évènement \(T_A\) pour chaque candidat
\(A\) avec une partition sur les \( M(M-1)/2 \) seconds tours
possibles :\[
P(T_A) = P(\theta_A \gt 0.5) + \sum_{B} P(S_{AB}) \times P(\pi_{AB} \gt 0.5)
\]
Avec \(\pi_{AB}\) le vecteur aléatoire représentant la distribution aposteriori
des votes exprimés au second tour entre les candidats \(A\) et \(B\), étant
donné qu'il a lieu. On utilise le même modèle que pour le premier
tour : une loi de Dirichlet avec des observations multinomiales
indépendantes. Cela dit les seconds tours sont des élections à deux candidats,
et ce cas général se réduit à des loi bêta et binomiales, respectivement. Si
aucun sondage n'envisage l'hypothèse \(S_{AB}\) on prend un apriori uniforme
(i.e. 50/50).
Depuis 1958 — Modèle graphique